• 欢迎访问英脉物流官方网站
货物查询

全国咨询热线400-663-9099
英脉物流

基于整数规划方法的物流配送成本优化研究

字号:T|T
文章出处:作者:人气:-发表时间:2024-04-13 08:28:00

 一、前言

互联网蓬勃发展的时代背景下,人们的生活消费方式与以往的消费方式存在较大不同,从原来的主要线下消费,转到当前的线上消费。这样的消费观和生活观的转变,促进了一批新行业诞生,也为传统行业发展带来新的商机。电子商务是近年来蓬勃发展的一批新行业中的一员,其快速发展离不开物流的大力支持。从时间节点上上,我国物流行业起步较晚,还处于成长上升期,这就使得物流配送成本偏高,给自营电商带来巨大压力,为有效解决此问题,优化物流配送管理成本,需要借助整数规划方法构建数学规划模型,从而快速找出最佳优化成本方案。
 
二、整数规划数学模型的建立
(一)商品物流配送方案的选择目标
整数规划是从割平面法提出之后,再形成的独立分枝,多年发展出很多方法可以解决很多问题。在众多方法中,整数规划典型的做法是从原问题上在逐步生成一个相关问题,可以称这个问题为衍生问题。每一个生成的衍生问题还会伴有一个比它更易于求解的松弛问题。通过解决松弛问题来确定它的源问题的归属,将这个源问题再次被舍弃,还是被它本身衍生的问题再次替代,这个过程需要经过进一步重复,直至不再出现或者剩下没有被解决的衍生问题为止。这个过程将会是最优方案的衍生路径。在电商平台运营中,物流配送管理成本优化也是通过上述描述过程充重复计算出来的。用最简单的语言来表述,就是说要想要将在物流配送路线中单位成本不变的情况下,将最终的配送成本控制在最低,则需要将供应商品的分配指派问题解决,使其可以在被销售后,可以从最合适的地点发出,将商品销售总成本控制在最优状态,也就是说,商品在销售后,其被配送的成本最低。这个问题解决的关键在于合理的资源配置,或者说是物流配送管理成本最优。
 
(二)线性约束条件
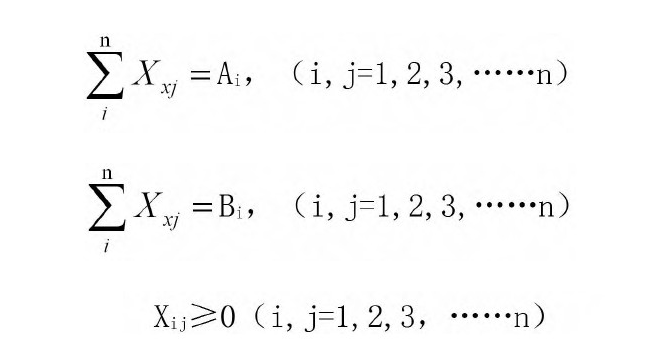
线性约束条件是指由变量x、y的一次不等式或者是方程式组成的不等式组,也可以理解为线性空间的约束条件。在电商平台运营中,商品买卖是每日需要进行的交易活动,商品销售量就是线性约束条件中的变量,为此,在电商平台销售的产品中,调配不同供应生产地的商品时,需要考虑一些约束条件。第一,电商平台中的不同产品有不同的供应地或者供应商,这些供应地或者供应商也存在一些约束条件,需要电商平台在调配物流资源时,充分考虑其约束条件。一般情况下,供应地或者供应商的约束条件是假设电商平台上某一个销售商品的所有可供应商能够供应的总和。第二,互联网的普及推广,不仅拓宽了电商平台的销售路径,同时也大大便利了不同地区的消费者,这些消费者生活在不同的区域内。将这些区域可以定义为电商平台商品的需求地,这个需求地也会提出一些约束条件。通常情况下,需求地的约束条件主要是电商平台上某一销售商品的所有需求地想要购买的商品数量的总和。第三,电商平台上的商品被分配的数量也有约束条件,主要是指电商平台上某一销售商品被配送到各个需求地的数量是非零的正整数。
 
(三)模型的建立
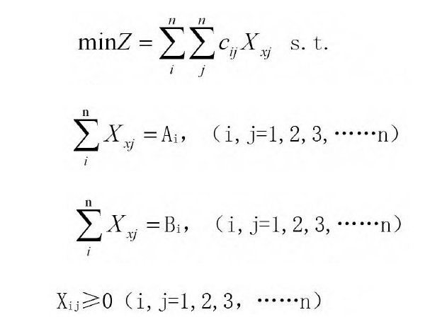
通过理论分析并假设后,针对电商平台的物流配送管理成本优化问题,可以设计整数规划数学模型:
 
 
 
 
 
其中,Cij代表的是电商平台上销售的商品由供应产地i配送到商品需求地j的单位配送成本。
 
(四)模型求解方法
在对整数规划数学模型进行求解时,需要应用到常见的办公软件E x c e l表格,利用其办公自动化功能,有效解决整数规划数学模型中的各种方案算法优化问题。具体的操作运算步骤如下:(1)首先需要在办公软件Excel表格中构建一个任务分配量化模型,将模型公式中出现的各个数值信息等都规整到一张表格中,便于操作。(2)在设置好的Excel表格中,找到目标函数值表格,将光标定位在表格中,进行SUMPRODUCT函数公式应用设定。SUMPRODUCT函数是一个令人惊艳的函数公式,其不仅可以快速求和,还能计数和排名,这样的函数功能大大提升了后期对各种数字信息的归纳整理速度,提高工作效率,保证工作质量。(3)“规划求解”加载项的处理,具体操作步骤较为简单,只要按照操作指示就可以轻松搞定。(4)在加载并安装完成“规划求解”后,对表格中的其他数值进行功能设置,如设置可变单元格,设置目标单元格,加入约束条件,以及选择求解方法,等等。将需要使用到的所有参数都按照标准要求设置完成后,就可以直接点击E x c e l表格中的“求解”按钮,得出想要的最优解,这也就是物流配送管理成本优化所需要的整数规划数学建模步骤。
 
三、整数规划方法在物流配送管理成本优化中的具体应用
(一)在Excel表格中构建配送分配量化模型
在按照整数规划方法完成数学建模后,相关工作人员就可以应用Excel表格制作的整数规划方法对电商平台的物流配送管理进行最优化的方案确定了。在具体应用时,要对函数目标进行确定,要使物流管理配送成本最低,则按照操作规范一步步进行操作,构建目标函数[1]。约束条件中的三个约束条件要按照要求输入数值,总成本计算设置单元格时,要将选择的目标单元格进行确定,不可以出现多选或少选问题。
 
(二)设置目标函数以及添加整数规划约束条件公式
设置目标函数以及添加整数规划约束条件公式,则是按照构建好的约束条件设置约束条件公式:
 
 
 
 
(三)加载“规划求解”加载项,并设置相应的参数
工作人员在Excel表格中,需要打开“规划求解”设置对话框,将目标函数类型确定为最小值,并确定可变单元格位置,接着一步步添加约束条件,并将“使无约束变量为非负数”这个选项点击选择,找到“单纯整数规划”后,按选择键确定,最后按下“求解”按钮,得出想要的最优方案。
 
(四)对目标函数求解
在设置完整数规划数学模型中的所有参数后,运用SUMPRODUCT函数的功能,对目标函数进行求解。当自动求解完成后,Excel表格中会在相应的单元格中显示最终的目标答案。如将电商平台中一种销售商品的供应地、需求地清晰地展示在Excel表格中,并且将相对应的数据信息也显示出来,便于工作人员按照此整数规划数学模型中的数据信息进行商品任务分配。
 
四、总结
综上所述,整数规划是一个数学名词,若但从其概念来理解,则指规划中的变量全部或者一部分必须为整数,以约束条件为条件,逐步将原问题衍生成新问题,再对每个衍生问题进行解决,直至最终没有新问题出现,在整个算法推理中,得出没有衍生问题的路径,就是最优路径。在物流配送管理成本优化中,应用的就是整数规划的这一数学特性。首先在E x c e l表格中构建配送分配量化模型,接着设置目标函数以及添加整数规划约束条件公式,最后对目标函数求解,这就是整数规划方法在物流配送管理成本优化中的应用过程。

推荐产品

同类文章排行

最新资讯文章

您的浏览历史

    正在加载...